電話:13570151199
傳真:020-39972520
郵箱:hanyan@hanyancarbon.com
地址:廣東省廣州市番禺區東環街番禺大道北555號天安總部中心30號樓6層
聚對苯二甲酸乙二酯(PET)是必不可少的材料,因為它是應用于食品包裝,電線和醫療工具等各個領域的塑料的主要成分。特別是,PET主要在單一服務領域中用作水和碳酸軟飲料的容器。但是聚對苯二甲酸乙二醇酯的熱解過程會產生對人體健康和環境有害的多環烴和聯苯衍生物。因此,使用鈀金屬催化劑在活性炭上負載以防止有害物質的形成。本次的研究我們在PET廢料的熱解過程中使用了活性炭負載的鈀催化劑,以減少由熱分解反應產生的多環烴和聯苯衍生物。
活性炭載鈀催化劑材質分析
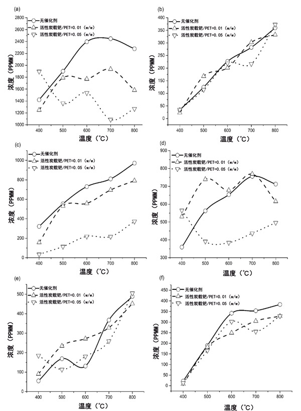
活性炭載鈀催化劑的高表面積歸因于活性炭載體。盡管金屬負載量為5 wt%,高表面積仍可實現高鈀分散度(42%)。已知活性炭具有很高的熱穩定性,因此在熱解過程中大部分保留了活性炭的孔隙率。圖1顯示了在有和沒有鈀催化劑的情況下,由PET熱解獲得的多環烴和聯苯衍生物的濃度比較。使用不同的活性炭載鈀催化劑/PET比確定熱解過程中催化劑的作用。隨著熱解溫度的升高,三種類型的多環烴(2-萘甲酸,芴酮和三亞苯基)的濃度增加,這是因為環化反應在較高溫度下更有利地形成了苯環。

圖1:在有和沒有活性炭載鈀催化劑的條件下,聚對苯二甲酸乙二醇酯(PET)的熱解得到的聯苯衍生物濃度的類型。(a)2-萘甲酸,(b)芴酮,(c)三亞苯基,(d)聯苯基-4-羧酸,(e) -三苯基和(f)鄰-三苯基。
聚對苯二甲酸乙二酯的熱解
與在熱解過程中活性炭催化劑/PET比為0.01的非催化劑相比,三種類型的聯苯衍生物聯苯-4-羧酸,對叔苯基和聯苯之間的濃度沒有有意義的差異。這意味著少量的活性炭催化劑不會影響多環烴以及PET熱解過程中生成的聯苯衍生物的數量。但是,當我們研究非催化劑與活性炭催化劑/PET比率0.05之間的差異時,與在800°C時不進行催化熱解相比,生成的聯苯-4-羧酸濃度降低了79%。此外,小約59%的三聯苯,制作和p與不使用催化劑的PET在700°C時的熱解相比,與人體健康有關的-叔苯基減少了約30%。這些結果清楚地表明,以0.05的活性炭催化劑/PET比進行的熱解在高溫下造成環結構形成中斷。
在活性炭載鈀催化的PET熱解過程中,開環反應可能通過C–C鍵斷裂在單官能鈀位點發生。根據先前的研究,活性炭載鈀催化劑可以通過三種機制將開環反應進行開環,在該機制中,鈀原子與有機化合物結合并倒置。取決于反應條件和底物,鈀金屬會在環結構中保留或反轉。這種現象會導致環結構的重排,并使與鈀結合的活性炭發生明顯的反轉。烴類熱裂解過程中也會發生自由基反應。高分子(例如多環烴和聯苯衍生物)通過溶血裂解反應(通過熱能)裂解,產生自由基和陽離子。產生的自由基與其他穩定分子反應,生成新的自由基和更多的自由基。最后,大量的自由基相互反應形成穩定的分子。鈀金屬催化劑加速了熱自由基機理。聯苯-4-羧酸經自由基熱裂解生成苯并與苯甲酸生成苯,通過氫原子轉移產生苯甲酸裂解的CC鍵。這種機理與環結構公式相反。多環化合物還可以生產低碳氫化合物。例如,三亞苯基轉化為具有自由基的苯和具有自由基的聯苯,其通過熱裂解進一步裂解形成含苯的自由基。在制備更瘦的結構之前,通過氫化從含苯的自由基獲得環己烷。所得的環己烷經開環反應并氫化,得到己烷。因此,通過裂解和重組產生了氫氣和低碳氫化合物。因此,在高溫(例如,>600°C)下,基于活性炭載鈀催化熱解比非催化熱解產生更少的焦炭和更多的CH鍵。正如看到的圖2中,我們可以發現,胺類物質也與多環烴和聯苯衍生物類似地降低。PET由碳,氫和氧組成。氮原子可能是在惰性N 2氣氛中沒有氧氣或水的情況下熱解產生的。

圖2:在有和沒有活性炭載鈀催化劑的條件下,聚對苯二甲酸乙二酯熱解過程中總胺衍生物的濃度隨溫度的變化。
熱解產物分析
多環化合物可以通過可通過PET分解產生的兩種主要中間體產生:對苯二甲酸和含苯甲酸的自由基。對苯二甲酸通過熱裂解轉化為帶有自由基的二氧化碳,乙烯和苯。特別是,附連到苯環的基團是選自的C-C鍵的均裂生成。這些自由基之一與苯反應生成帶有自由基的聯苯,剩余的自由基與其他苯反應生成兩種類型的三聯苯(對三聯苯基和鄰三聯苯基)。在這里,Ô-叔苯基可以通過脫氫進一步轉化為三苯基。含有自由基的苯甲酸具有兩個轉化途徑。當苯甲酸通過氫化反應與苯反應時,會生成聯苯-2-羧酸。通過異構化,聯苯-2-羧酸可以變成聯苯-4-羧酸。此外,聯苯-2-羧酸可以通過熱誘導縮合轉化為芴酮。另一途徑是從具有自由基的苯甲酸生成2-萘甲酚酸。為了生產2-萘甲酸,從對苯二甲酸獲得的乙烯和乙炔與具有自由基的苯反應。苯甲酸中的自由基與碳原子的反應乙烯通過脫氫生成的2 H 3產生4-乙烯基苯甲酸。可以通過減去氫原子獲得其他自由基。產物4-乙烯基苯甲酸具有一個自由基并與乙炔同步生成帶有自由基的3,4-二乙烯基苯甲酸。
圖3比較了在800°C下有活性炭催化劑/PET之比為0.05)催化劑和沒有任何催化劑的情況下PET熱解的質量平衡。在除400°C以外的所有溫度下,它都顯示出類似的趨勢,可產生更多的固體和氣體,并減少液體的產生。特別是,最大效果出現在800°C。這是因為高溫熱解促進自由基機理和熱裂解,并且Pd催化劑可以幫助加速催化劑部位的開環反應。結果表明,使用活性炭催化劑/PET比率為0.05催化劑對PET進行熱解可加速熱解油向熱解氣體(如CO,CH 4和H 2)的轉變。這是因為活性炭載鈀催化劑使碳分布從熱解油轉移到熱解氣體。這些機制可以幫助改善吸熱過程(例如熱解),因為熱解氣體是可燃的。結果,使用適量的活性炭載鈀催化劑將提高廢塑料處理過程中的熱效率。

圖3:比較在800°C下有活性炭載鈀催化劑和沒有催化劑的情況下PET熱解的質量平衡。
這項研究對含或不含鈀的活性炭催化劑的實際PET廢料(即一次性杯子和飲料瓶)進行了熱解。熱解過程中形成的有害物質(如多環烴和苯衍生物)的形成進行抑制。因此,在該反應中使用了活性炭載鈀催化劑。將活性炭載鈀催化劑/PET之比設定為0.01和0.05(重量基準),以根據鈀的量確定對有害物質形成的影響。結果表明,活性炭載鈀催化劑/ PET比率為0.01催化的PET熱解在多環烴和苯衍生物的數量上沒有顯著差異。然而,活性炭載鈀催化劑/PET比率為0.05催化的PET熱解表明了這些之間的顯著差異。這意味著適量的活性炭載鈀催化劑抑制了熱解過程中多環烴和苯衍生物的形成。該現象是通過自由基機理和開環反應來進行的。另外,活性炭負載鈀催化劑越多,產生的胺種類就越少。所有這些結果均在高于400°C的溫度下顯示。結論是,這項研究可以用于PET和其他塑料與金屬催化劑(例如Pd催化劑)的熱解,以環保的方式改善塑料廢物的處置。
文章標簽:椰殼活性炭,果殼活性炭,煤質活性炭,木質活性炭,蜂窩活性炭,凈水活性炭.推薦資訊
- 2025-10-21活性炭從堿性甘氨酸溶液中吸附鉑
- 2025-10-10活性炭金屬改性對氫的吸附
- 2025-09-29活性炭吸附有機微污染物
- 2025-09-17活性炭去除對羥基苯甲醚
- 2025-09-09活性炭從水溶液中吸附苯酚
- 2025-08-27活性炭從水溶液中分離甲乙酮
- 2025-08-19活性炭對鈷離子的吸附與去除
- 2025-07-30活性炭用于強汞的去除
- 2025-07-23活性炭超聲輔助吸附黃金
- 2025-07-16活性炭載二氧化鈦協同去除二氯甲烷
- 2025-07-09活性炭從水中吸附脂多糖
- 2025-07-03活性炭凈化銅污染的生物柴油
