電話:13570151199
傳真:020-39972520
郵箱:hanyan@hanyancarbon.com
地址:廣東省廣州市番禺區東環街番禺大道北555號天安總部中心30號樓6層
活性炭吸附柴油脫硫
化石燃料的燃燒會引起空氣污染,會造成很多環境問題。諸如二氧化硫,一氧化氮,一氧化碳,顆粒物和揮發性有機化合物等空氣污染物的排放來自各種來源,尤其是內燃機中燃料的燃燒。為了控制這些排放,煉油廠通常采用加氫處理以減少燃料中存在的硫,氮,氧,芳烴的含量。由于通過常規加氫處理方法去除難熔硫化合物超出某些閾值仍然具有挑戰性,因此已經研究了幾種替代方法來降低燃料中難降解物質的含量。本次研究的目的是研究含硫柴油的間歇式吸附脫硫工藝,并研發有椰殼制成的活性炭吸附劑,用于柴油的吸附脫硫。
硫化合物在柴油中是不可取的,因為這些化合物會對發動機機械產生腐蝕并造成環境破壞。吸附脫硫是一種過程,該過程取決于固體吸附劑的選擇性吸收燃料中有機硫化合物的能力。研究相互影響的參數,以改善硫化合物的吸附并找到合適的吸附條件。通過不同的吸附動力學模型驗證了吸附過程的控制機理。硫的去除是精制的重要步驟原油的燃燒,因為硫化合物的燃燒產物是酸雨和環境污染的主要原因。吸附技術很簡單,當硫分子附著在活性炭上并與燃料分開時,就會發生吸附。
活性炭吸附柴油脫硫
在研究測試中,柴油的吸附脫硫是通過使用椰殼制成的活性炭進行的,該活性炭是韓研專為柴油脫硫研發的。柴油樣品是從當地的加油站收集的。直接使用活性炭進行分批平衡實驗,該活性炭被不同的活化劑進行活化,分批實驗使用50ml的柴油樣品進行。并借助磁力攪拌器在室溫下固定固定1、2、3、4小時。進行實驗以測試活性炭的使用量,接觸時間和直到平衡的粒徑。收集樣品過濾并使用UV-可見159分光光度計分析其含硫量。該數據用于研究吸附等溫線。
接觸時間對脫硫的影響
使用通過不同活化劑(如Cacl2,Zncl2,H2SO4等多種活化劑)活化的活性炭進行批量實驗。估計的結果為選擇活化劑作進一步的實驗提供了思路。由于在吸附劑劑量為10gms時,使用活化劑H2SO4去除活性炭的硫效率較高,原始樣品的濃度為334.5ppm,如圖1所示。

圖1:不同活化劑活化的活性炭對柴油脫硫。
脫硫吸附等溫線吸附等溫線
通過將實驗數據擬合到Langmuir和Freundlich等溫線,完成了吸附脫硫過程的平衡表征。吸附等溫線表明,隨著溶液中平衡濃度的增加,硫的吸附量增加。應用Langmuir和Freundlich模型方程對硫的吸附等溫線進行了分析。1/n值表示良好的吸附Freundlich模型比Langmuir模型(R2=0.817)擬合效果更好(R2=0.831)。

圖2:Langmuir等溫線柴油通過活性炭去除硫。
活性炭柴油脫硫的動力學分析
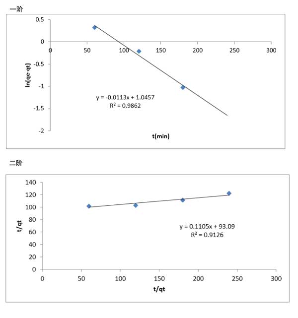
硫的去除將通過動力學研究進行分析。將對脫硫動力學進行研究,將批處理實驗數據擬合到動力學速率方程中,并對動力學參數進行評估。將依賴于吸附能力隨時間獲得的數據用于動力學分析。通過在室溫下選擇60,120,180,240分鐘的接觸時間來進行脫硫的動力學分析。擬一階模型和擬二階模型的動力學分析均采用以下方式進行:所用吸附劑的平衡吸附容量qe包括240分鐘后測得的值。
一階速率方程和二階速率方程將用于解釋硫,將估算速率常數下的動力學。進行了動力學實驗,以評價椰子殼活性炭對柴油機吸附脫硫的適用性。將依賴于吸附能力隨時間獲得的數據用于動力學分析。根據將數據擬合到一階和二階模型的結果,表No1給出了偽一階和偽二階反應模型的R2值。圖3分別顯示了偽一階速率方程和偽二階速率方程的測試。從數據擬合到各種模型的結果來看,根據一階和二階反應模型的R2值表明偽一階反應模型的相關系數值接近1,因此可以更好地描述數據。

圖3:活性炭吸附柴油脫硫的一階動力學和二階動力學。
活性炭是一種吸附柴油脫硫吸附劑的良好選擇。在接觸溫度,吸附劑劑量和硫濃度的影響下,在大氣溫度和壓力下,使用活性炭在批次實驗中對柴油進行脫硫。并比較吸附前后柴油中的硫含量。采用指定活化劑制成的活性炭吸附脫硫使柴油中的硫減少了原來硫含量的80%以上。一階和二階模型用于吸附劑的動力學研究。一階模型提供了更好的結果,對于二階模型,可獲得更好的結果。使用Freundlich和Langmuir吸附等溫線關聯實驗數據。均衡數據用Freundlich等溫線模型描述。
文章標簽:椰殼活性炭,果殼活性炭,煤質活性炭,木質活性炭,蜂窩活性炭,凈水活性炭.推薦資訊
- 2025-10-21活性炭從堿性甘氨酸溶液中吸附鉑
- 2025-10-10活性炭金屬改性對氫的吸附
- 2025-09-29活性炭吸附有機微污染物
- 2025-09-17活性炭去除對羥基苯甲醚
- 2025-09-09活性炭從水溶液中吸附苯酚
- 2025-08-27活性炭從水溶液中分離甲乙酮
- 2025-08-19活性炭對鈷離子的吸附與去除
- 2025-07-30活性炭用于強汞的去除
- 2025-07-23活性炭超聲輔助吸附黃金
- 2025-07-16活性炭載二氧化鈦協同去除二氯甲烷
- 2025-07-09活性炭從水中吸附脂多糖
- 2025-07-03活性炭凈化銅污染的生物柴油
